Какую кислоту заливают в автомобильный аккумулятор?
Какая кислота в аккумуляторе
Практически во всех свинцово-кислотных аккумуляторах, а именно они стоят в автомобилях в качестве стартерных, используется серная кислота (формула — H2SO4) или, как ее еще называют автомобилисты, аккумуляторная кислота.
Но заливается она в батареи не в чистом виде, а в виде водного раствора, который называется электролитом. Примерное соотношение кислоты к воде составляет 3:7 (30% концентрированной кислоты, 70% воды). Для приготовления электролита используется дистиллированная вода, очищенная от солей и других примесей, существенно ухудшающих качество раствора.
Важно! Нередко можно услышать, что в автомобильные аккумуляторы некоторых типов заливается соляная кислота. Это неверно. Свинцово-кислотных аккумуляторов, работающих на соляной кислоте, не существует.
Для чего она нужна
Кислота является важной частью аккумулятора. Она участвует в химических реакциях окисления и восстановления с электродами, благодаря чему возникает ЭДС. При зарядке батареи и подаче на нее обратной ЭДС эта же кислота позволяет аккумулятору накопить получаемую энергию, обеспечивая обратные химические реакции.
Какие процессы протекают при заряде и разряде
Чтобы лучше понять, для чего нужна серная кислота, рассмотрим химические реакции, протекающие в аккумуляторе во время его работы и зарядки.
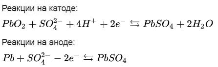
Как известно, аккумулятор имеет два электрода – анод и катод. Первый изготовлен из диоксида свинца (PbO2), второй — из металлического свинца (Pb). Оба электрода, естественно, погружены в электролит.

При подключении к АКБ нагрузки (режим разряда) начинается реакция взаимодействия оксида свинца и серной кислоты, при этом металлический свинец окисляется до сульфата свинца. В это время происходит восстановление диоксида свинца на катоде и окисление свинца на аноде. При заряде протекают обратные реакции.
Электрохимические реакции в свинцово-кислотной аккумуляторной батарее (слева направо — при разряде, справа налево — при заряде)
При разряде аккумулятора из электролита расходуется серная кислота и выделяется относительно более лёгкая вода, плотность электролита падает. При заряде АКБ происходит обратный процесс.
Даже в нормальном режиме в процессе работы батареи некоторая часть воды разлагается на газообразный водород и кислород, но при нарушении условий эксплуатации (чрезмерный разрядный или зарядный ток) электролиз усиливается, и вода необратимо теряется.
Состав электролита и как его приготовить в домашних условиях
Обычно электролит заливают в батарею при ее изготовлении, но в некоторых случаях, к примеру, при покупке сухозаряженного обслуживаемого аккумулятора, раствор кислоты заливается самим покупателем, то есть нами. Прежде чем электролит залить, его нужно приготовить.
То, что в свинцовом аккумуляторе серная кислота, мы выяснили, что ее нужно разбавить водой – тоже. Знаем даже пропорции, но очень примерные. То, какой плотности электролит заливать, будет зависеть от климатических условий, в которых будет эксплуатироваться батарея, и от плотности исходного электролита. Поэтому с понятием плотности придется познакомиться поближе.
Итак, плотность чистой серной кислоты равняется 1.83 г/см3. То есть один миллилитр концентрированной серной кислоты будет весить 1.83 грамма. Плотность воды – 0.998 г/см3 (цифры для температуры +20 °С). Если смешать кислоту с водой, то плотность электролита будет зависеть от соотношения компонентов. Таким образом, совсем не нужно отмерять нужное количество жидкостей, достаточно во время приготовления электролита контролировать его плотность.
Более того, при приготовлении электролита пересчитывать плотность в процентное соотношение кислоты к воде вообще не нужно, поскольку в документации на все аккумуляторные батареи производитель указывает необходимую концентрацию электролита именно в единицах плотности.
Как измерить плотность электролита
Для измерения плотности жидкости используются специальные приборы – ареометры. Автомобилистами используются два основных типа ареометров: постоянной массы и многопоплавковые.
Первый тип представляет собой поплавок со шкалой в верхней его части и грузом в нижней. Такой прибор просто опускается в жидкость (в нашем случае электролит). Чем плотность электролита выше, тем на меньшую глубину погрузится поплавок. Показания же плотности считываются со шкалы в зависимости от глубины погружения.
Принцип работы ареометра постоянной массы
Важно. Для аккумулятора такой ареометр не подходит – его не опустишь в банку. Поэтому автомобильные ареометры дополняются специальным «шприцем» с относительно тонкой иглой для забора электролита из банки.
Автомобильный ареометр постоянной массы
Что касается многопоплавкового типа, то принцип его работы тот же, но поплавков несколько (обычно 7). Каждый из них имеет определенную плавучесть, заставляющую его всплывать при той или иной плотности жидкости.
Работают с прибором так: забирают в него электролит (он тоже в виде шприца) и определяют плотность по последнему всплывшему поплавку — каждый из них отмаркирован своей плотностью всплывания. Недостаток такой конструкции очевиден – это очень низкая точность измерения.
Плотность электролита примерно 1.23 г/см3
С понятием плотности разобрались, пора готовить электролит. Для этого нам понадобится серная кислота и дистиллированная вода. Первую можно купить в автомагазине, вторую – в любой аптеке или в крайнем случае сделать самому, использовав перегонный куб (самогонный аппарат).
Какую кислоту использовать? В продаже обычно можно встретить разбавленную серную кислоту, так называемую автомобильную. Ее плотность составляет 1.42 г/см3. Если в нашем распоряжении окажется концентрированная серная кислота (плотность 1.83 г/см3), то подойдет и она, но работать с такой кислотой нужно очень осторожно – она прожигает одежду и кожу мгновенно.
Чистая серная кислота тоже подойдет для приготовления электролита
Теперь определим примерные пропорции, чтобы по 20 раз не перемешивать и не измерять плотность, «вылавливая» нужную концентрацию. Для этого воспользуемся табличками, приведенными ниже.
Пропорции воды к серной кислоте плотностью 1.83 г/см3
|
Необходимая плотность электролита, г/см3 |
Количество воды, л |
Количество кислоты, л |
|
1.2 |
0.859 |
0.2 |
|
1.21 |
0.849 |
0.211 |
|
1.22 |
0.839 |
0.221 |
|
1.23 |
0.829 |
0.231 |
|
1.24 |
0.819 |
0.242 |
|
1.25 |
0.809 |
0.253 |
|
1.26 |
0.8 |
0.263 |
|
1.27 |
0.791 |
0.274 |
|
1.28 |
0.781 |
0.285 |
|
1.29 |
0.772 |
0.295 |
|
1.31 |
0.749 |
0.319 |
Пропорции воды к серной кислоте плотностью 1.42 г/см3
|
Необходимая плотность электролита, г/см3 |
Количество воды, л |
Количество кислоты, л |
|
1.2 |
0.547 |
0.476 |
|
1.21 |
0.519 |
0.5 |
|
1.22 |
0.491 |
0.524 |
|
1.23 |
0.465 |
0.549 |
|
1.24 |
0.438 |
0.572 |
|
1.25 |
0.41 |
0.601 |
|
1.26 |
0.382 |
0.624 |
|
1.27 |
0.357 |
0.652 |
|
1.28 |
0.329 |
0.679 |
|
1.29 |
0.302 |
0.705 |
|
1.31 |
0.246 |
0.76 |
Какое количество электролита понадобится? В аккумуляторах емкостью 55-75 А/ч залито от 2,6 до 3,7 литров электролита в зависимости от емкости и конструкции батареи.
Теперь нужно решить, какая плотность раствора должна быть в нашем аккумуляторе. Она зависит от климатических условий, в которых будет эксплуатироваться автомобиль. Для определения оптимальной плотности конкретно для наших условий воспользуемся еще одной табличкой.
Зависимость плотности электролита полностью заряженной батареи от температуры эксплуатации
|
Климатический район (средняя месячная температура в январе, °С) |
Время года |
Плотность электролита полностью заряженного аккумулятора, г/см3 |
| Очень холодный (-50 … -30) | Зима |
1.30 |
| Лето |
1.28 |
|
| Холодный (-30 … -15) | Круглый год |
1.28 |
| Умеренный (-15 … -8) | Круглый год |
1.28 |
| Теплый влажный (0 … +4) | Круглый год |
1.23 |
| Жаркий сухой (-15 … 0) | Круглый год |
1.23 |
Готовить электролит будем в кислотостойкой (к примеру, стеклянной) посуде, перемешивать стеклянной палочкой. Из средств защиты нужны очки, перчатки и по возможности прорезиненный фартук.
Прежде чем взяться за работу, твердо усвоим основное правило – льем кислоту в воду и ни в коем случае не наоборот. При вливании более легкой воды почти наверняка произойдет вскипание верхнего слоя раствора с разбрызгиванием кислоты!
Льем только кислоту в воду!
Итак, отливаем необходимое количество воды в емкость. Теперь отмеряем нужное количество серной кислоты и аккуратно с небольшой высоты вливаем ее в воду тонкой струйкой. Льем очень медленно, поскольку при быстром вливании может произойти разбрызгивание. Кроме того, в процессе химических реакций температура раствора быстро поднимается, и стеклянный сосуд может лопнуть от резкого перепада температур.
После этого тщательно, но не спеша, перемешиваем раствор и ждем, пока он не остынет до комнатной температуры, иначе показания ареометра будут неверными. Делаем забор электролита в ареометр и измеряем плотность. Если она отличается от желаемой, добавляем воду или кислоту (если плотность высокая – воду, если низкая – кислоту).
Важно! Воду доливаем в электролит только при помощи шприца ареометра! Забираем в него небольшое количество воды, опускаем иглу глубоко в электролит и потихоньку выжимаем воду грушей.
Снова перемешиваем раствор, остужаем и только потом, еще раз проконтролировав плотность, заливаем в аккумуляторную батарею.
Вот мы и узнали, для чего в аккумуляторе электролит, какой плотности он должен быть, и даже сможем самостоятельно его приготовить.
- Очистка воды сольюСоль – привычный пищевой продукт, используемый для придания кулинарным блюдам более изысканного вкуса. Но есть и еще одна распространенная область применения соли – системы очистки воды в коммунальных и автономных сетях водоснабжения, бассейнахОчистка воды солью
- Пошаговая инструкция очистки бассейна перекисью водородаПерекись водорода известна как недорогое, но эффективное обеззараживающее средство — недаром это вещество широко применяют в медицине и косметологии. В отличие от привычного трехпроцентного раствора из аптеки, перекись водорода для бассейна (пергидроПошаговая инструкция очистки бассейна перекисью водорода

